Lycée
Observation indirecte de la matière noire
Observation indirecte de la matière noire
Niveau : Collège, Lycée
Pré requis : Lire attentivement l'introduction : « La radioastronomie à portée de main ».
But : Observer les effets de la matière noire sur la distribution de vitesse dans la Voie Lactée.
Méthode : Nous allons mesurer la vitesse radiale de nuages de HI pour différentes longitudes dans le premier cadran galactique. Nous trouverons pour chacune d'elle, grâce au logiciel SalsaJ, la vitesse au point tangentiel et nous la tracerons en fonction de la distance au centre galactique. Nous conclurons en comparant le graphe obtenu au modèle prédit par la loi de Kepler.
1) Etude préliminaire
Imaginons que nous pointons notre radiotélescope vers un nuage de gaz de notre Galaxie. Dans les figures 1-1 et 1-2, nous voyons que la vitesse réelle d'un nuage (V) fait un angle avec la ligne de visée. Ainsi, nous pouvons mesurer simplement, la projection de la vitesse du nuage sur la ligne de visée. (Vlos) (Line-of-sight).

Fig.1-1: la vitesse d'un nuage projetée sur la ligne de visée.

Notations :
V0= vitesse du soleil autour du centre galactique
R0 = distance entre le soleil et le centre galactique
l = longitude galactique
V = vitesse d'un nuage de gaz
R = distance entre la nuage et le centre galactique
r = distance entre le soleil et le nuage.
Attention, l'angle b de la figure ci-dessus ne doit pas être confondu avec la latitude galactique.
Rappel :
. Une courbe de rotation montre la vitesse radiale en fonction du rayon.
. R0 = 8.5 kpc (1 kpc = 3,1.10^16 km)
. V0 = 220 km/s
- Trouvez l'expression de Vlos en fonction de V, la vitesse réelle du nuage et de α, l'angle entre la ligne de visée et la vitesse du nuage :
Vlos =...............................
Nous observons ce que l'on appelle la vitesse radiale, Vr, projection de la vitesse d'un nuage sur la ligne de visée (Vlos) moins la projection de la vitesse du soleil sur la ligne de visée. A partir de la figure 2.2, on obtient :
Vr = Vcos α - V0sinc
- Trouvez une relation entre les angles c et l (Vous pouvez utiliser la complémentarité des angles dans un triangle), puis réécrivez Vr.
...................................................................................... (1.1)
- En utilisant la même méthode appliquée au triangle CMT, déterminez une relation entre les angles b et a :
.....................................................................................
- La droite CM fait un angle droit avec V. En utilisant l'expression ci-dessus pour l'angle b, déterminez une relation entre les angles a et α:
.....................................................................................
- Nous voulons maintenant remplacer α par les autres variables. En regardant les triangles CST et CMT, exprimez la distance entre le centre galactique (C) et le point tangentiel (T) de deux manières différentes:
CT = .......................................=........................................ (1.2)
- Réécrivez maintenant l'expression (1.1) en fonction de V, R, R0, l et V0 :
...................................................................................... (1.3)
2) Etude au point tangentiel
Il peut y avoir de nombreux nuages le long de la ligne de visée. Si on observe un nuage au point tangentiel, on remarque que l'angle α est nul ; on en déduit que le constituant ayant la plus grande vitesse Vr,max vient du nuage au point tangentiel T où nous observons le vecteur vitesse tout entier le long de la ligne de visée.
Ces différents nuages observables à une même longitude sont explicitement visibles sur les spectres radio.
Fig. 2-1 : Spectre radio pour une longitude l = 45°. Chacun des pics correspond à un des nuages croisés par la ligne de visée. Le pic le plus ‘à droite' représente le nuage au point tangentiel ; sa vitesse est donc Vr,max.
- En utilisant les simplifications au point tangentiel dans l'équation (1.2) exprimez Rt en fonction de R0 et l. De même, utilisez l'équation (1.3) pour exprimer Vt en fonction de Vr,max, V0 et l.
Rt = .............................................................. (2.1)
Vt = ............................................ (2.2)
Vous allez maintenant pouvoir utiliser les équations (2.1) et (2.2) pour tracer la courbe de rotation de la galaxie (Vt en fonction de Rt).
En observant à différentes longitudes galactiques, vous pouvez mesurer Vr,max sur chacun des spectres radio. Vous pourrez alors calculer Rt et Vt pour chaque l et déterminer Vt(Rt).
En résumé nous avons :
- observé HI à des longitudes galactiques différentes dans le 1er quadrant,
- mesuré la valeur de la vitesse maximale Vr,max pour chaque l,
- supposé que le gaz correspondant est situé en ce point tangentiel,
- supposé que nous connaissons R0 et V0.
- De cela, nous pouvons décrire la courbe de rotation de la galaxie Vt(Rt).
3) Exploitation des résultats
a/ Le logiciel SalsaJ
SalsaJ est un logiciel de manipulation et de traitement d'image destiné aux enseignants et aux élèves de collège et lycée. SalsaJ version 1.4 est disponible sur le site section software puis download.
Avant tout, commencez par lancer le logiciel SalsaJ. Il se présente sous la forme d'une fenêtre horizontale jaune.
→ Facultatif : Vous pouvez observer la raie spectrale de ‘votrefichier' en allant dans fichier, ouvrir, votrefichier.fits.
Pour afficher le spectre radio, faites Analyse, spectre radio... et sélectionnez le fichier .fits à ouvrir. Une fois la fenêtre ouverte, cliquez sur indiquer échelle et sélectionnez Vitesse. Vous devriez alors voir le spectre radio avec l'intensité en fonction de la vitesse comme sur la figure 2.1. Pour avoir Vr,max à la longitude correspondant au fichier .fits, placez le curseur sur le pic le plus à ‘droite'. Lisez alors les coordonnés affichées.
Vous êtes maintenant en possession de Vr,max pour la ou les longitudes que vous étudiez.
b/ Obtention de la courbe de rotation
A ce stade de l'exercice, vous avez deux possibilités :
. Rentrer les valeurs de la vitesse et de la longitude dans un tableur (typiquement Excel ou Open Office), taper les équations (2.1) et (2.2) puis faire tracer la courbe de rotation Vt(Rt).
. Calculer ‘à la main' les valeurs de Rt et de Vt pour chacune des longitudes puis tracer la courbe de rotation Vt(Rt).
* Si vous utilisez un tableur :
Commencez par ouvrir votre tableur, nommez deux colonnes ‘l' et ‘Vr,max' puis rentrez vos valeurs.
Vous devez avant tout rentrer les valeurs de R0 et V0 nécessaires aux calculs. Pour cela, allez dans Insérer, Noms, Définir. Rentrez ensuite dans le champs supérieur R0 puis dans le champs appelé ‘assigné à', rentrez la valeur de R0. Pour finir, cliquez sur Ajouter et répétez l'opération pour V0. Vous pouvez maintenant utiliser les notations ‘R0' et ‘V0' directement dans vos équations.
Vous allez maintenant calculer Vt et Rt à l'aide de votre tableur. En effet, celui-ci est capable de faire la même opération sur toute une colonne et de remplir une autre colonne avec les résultats. Nommez une colonne Rt dans laquelle tous les résultats seront stockés et écrivez dans la première cellule (case) votre formule de Rt (équation 2.1).
ATTENTION : Pour les application numérique, l'angle l doit être en radian !
Vous devez dire à votre tableur dans quelle colonne se trouve l pour le calcul. Par exemple, si vous avez mis vos longitudes dans la colonne A et que votre première cellule est à la troisième ligne, vous devez taper ‘A3' à la place de ‘l' dans la formule. (Votre tableur se débrouillera tout seul pour les lignes suivantes !). Enfin, pour appliquer la formule au reste de la colonne, étirez le coin droit inférieur jusqu'à prendre la dernière valeur de la colonne. Répétez la même opération pour le calcul de Vt (en utilisant l'équation 2.2).
Vous avez maintenant les vitesses et les distances des nuages de gaz d'hydrogène pour différents points tangentiels. Nous voulons les placer dans un graphique.
Pour cela, commencez par sélectionner les deux colonnes contenant Vt et Rt, puis allez dans Insérer, Diagramme et sélectionnez un graphe de points sans lignes entre eux (ceci dépend du tableur que vous utilisez). Vous pouvez ensuite améliorer votre diagramme en lui donnant un titre, en nommant les axes, etc....
Le tracé devrait vous montrer une courbe de rotation presque continue, c'est à dire une vitesse au point tangentiel presque constante quelque soit Rt.
Fig. 3-1 : Exemple de courbe de rotation tracée sur Excel.
* Si vous travaillez ‘à la main' :
Vous devez calculer pour chaque longitude les valeurs de Rt et de Vt.
ATTENTION : Pour les application numérique, l'angle l doit être en radian !
Il ne vous reste plus qu'à tracer la courbe de rotation Vt(Rt) sur un repère.
Vous devriez observer une courbe de rotation presque continue. (cf fig. 3-1)
4) Interprétation des résultats
Dans le système solaire, les planètes ont une masse négligeable par rapport à la masse du soleil. Par conséquent, le centre de masse du système solaire est très proche de celui du centre du soleil. Ainsi, la courbe de rotation suit la loi de Kepler :
V α 1 / √R
On obtient la courbe de rotation suivante :
Fig. 4-1: Vitesse de rotation des planètes du système solaire. La ligne correspond
à la loi de Kepler à laquelle les planètes montrent un bon accord.
L'échelle des distances utilisée est ce que l'on appelle l'unité astronomique qui est
la distance entre la terre et le soleil.1 AU = 1ua = 150 106 km.
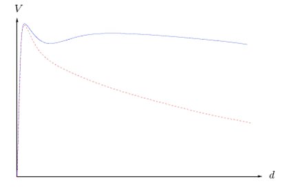
Contrairement à la courbe de rotation des systèmes comme le système solaire avec une grande masse centrale, la plupart des galaxies présente des courbes de rotation plates, car V (R) ne dépend pas de R au-delà d'un certain rayon.
Figure 4-2. : Courbe de rotation actuelle de la voie lactée
(ligne pleine bleue). La ligne rouge est celle de la courbe que nous attendons
en utilisant la loi de Kepler pour calculer la courbe de rotation.
La vitesse angulaire varie comme l'inverse du rayon .La matière près du centre est en rotation avec une vitesse angulaire plus grande que la matière plus éloignée.
Pour de grands rayons, les vitesses sont manifestement plus grandes que dans un modèle Képlérien et cela est une preuve de l'existence de matière supplémentaire qui serait distribué sous la forme d'un gigantesque halo de matière non visible entourant les galaxies. Ce halo de matière représenterait près de 90% de la masse totale de la galaxie.
Vous pouvez vous convaincre que votre courbe de rotation est suffisamment plate pour réfuter l'utilisation de la loi de Kepler pour les galaxies.
Ceci est une voie indirecte pour montrer l'existence de la matière sombre dans la galaxie.
Correction
1) Calculs préliminaires :
- Il s'agit ici d'effectuer une projection de la vitesse V sur la ligne de visée :
Vlos = Vcos α
- Dans le triangle supérieur, nous voyons que :
(90-l) + 90 + c = 180 donc c = l
On a : Vr = Vcos α -V0 sinc et donc en remplaçant c par l :
Vr = Vcos α -V0 sin l (1.1)
- L'angle α que V fait avec la ligne de visée peut être calculé à partit du triangle CMT où nous avons :
a + b + 90 = 180 ; b = 90 - a
- La droite CM fait un angle droit avec V. En utilisant l'expression ci-dessus pour l'angle b nous avons :
b +α = 90 ; α = 90 - b = 90 - (90-a) = a ; α = a
- Nous voulons maintenant remplacer α par les autres variables. En regardant les triangles CST et CMT nous trouvons que la distance entre le centre de galaxie (C) et le point tangentiel (T) peut s'exprimer de 2 façons différentes :
CT = R0 sin l = R cos α (1.2)
- En remplaçant l'expression de cos α de (1.2) dans l'équation (1.1) nous obtenons :
Vr = V.R0 /R sin l - V 0 sin l (1.3)
2) Etude au point tangentiel :
- Lorsque le nuage est au point tangentiel, le point M est confondu avec le point T et le triangle SCM est rectangle :
Rt = R0 sin l (2.1)
Au point tangentiel, α = 0 ce qui implique : R0 sin l / R = 1 et en remplaçant dans l'expression (1.3) : Vr = Vt - V0 sin l
D'où : Vt = Vr,max +V0sinl (2.2)

