Planeta Ziemia
Jak wypoczywając nad jeziorem zmierzyć promień Ziemi?
PROSTY POMIAR PROMIENIA ZIEMI
Zespół Szkól nr 1 im. Paderewskiego w Wałbrzychu
Proponujemy wykorzystać letni wypoczynek nad jeziorem i przekonać się, że Ziemia jest okrągła. Prosty pomiar nie wymaga wykorzystania zaawansowanego sprzętu. Potrzebna będzie mapa, latarka i luneta na statywie.
W sam raz na wakacje!
Program nauczania/Przedmioty:
Szkoła ponadgimnazjalna
Podstawa programowa: światło i jego rola w przyrodzie
temat: analiza spektralna
Od dawna wiadomo było, że Ziemia jest w kształcie kuli i od dawna podejmowano próby zmierzenia jej promienia. Oczywistym jest fakt, że aby zobaczyć co jest dalej to trzeba wyżej stanąć. Maksymalna odległość z jakiej możemy zobaczyć dany punkt (na rysunku to odcinek AB) zależy od tego jak wysoko jest on ponad powierzchnią Ziemi (x1), jak wysoko nad powierzchnią jest obserwator (y1) i oczywiście od promienia krzywizny Ziemi (R).

Sytuację można odwrócić: znając odległość AB i wysokości x1 i y1 można wyznaczyć promień Ziemi. Z rysunku od razu można zauważyć, że trójkąt OGB jest podobny do trójkąta DCB gdyż mają takie same kąty. Ze względu na to, że wysokość y1 jest dużo mniejsza od promienia R można z bardzo dobrym przybliżeniem stwierdzić że
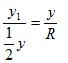
DB=1/2 y (wielokąt OGDC jest deltoidem czyli GD = CD, a dla małego kąta alfa odcinki DC i DB będą w dobrym przybliżeniu jednakowe). Dzięki temu można ułożyć proporcję

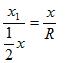
i analogicznie dla trójkąta AGO:

Z tych proporcji wyznaczamy

oraz

i wiedząc, że

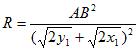
mamy równanie:

Podnosimy obie strony do kwadratu i wyznaczamy R:

Tyle teoria. Czy w praktyce da się to zrobić ? Okazuje się, że tak. Dla odległości AB równej 1,5 km wysokości x1 i y1 wynoszą kilka centymetrów. Wystarczy więc znaleźć odpowiednio dużą spokojną taflę wody i szukać z jakiej wysokości nad taflą punkt na drugim brzegu przestaje być widoczny. Zmierzyć wysokość miejsca obserwacji i punktu obserwowanego, z mapy obliczyć odległość AB i wyznaczyć promień Ziemi z powyższego wzoru.
Moim uczniom się to udało. Punktem obserwowanym była latarka umieszczona nisko nad wodą doskonale widoczna wieczorem (fot. 1).

fot. 1
Do obserwacji posłużyła lunetka umieszczona na statywie o regulowanej wysokości ( fot. 2 ). Zbawiennym okazało się, że oś okularu lunetki była po kątem 45° do osi obiektywu.

fot.2
Moim uczniom się to udało. Punktem obserwowanym była latarka umieszczona nisko nad wodą doskonale widoczna wieczorem (fot. 1).

fot. 1
Do obserwacji posłużyła lunetka umieszczona na statywie o regulowanej wysokości ( fot. 2 ). Zbawiennym okazało się, że oś okularu lunetki była po kątem 45° do osi obiektywu.

fot.2
Promień Ziemi zmierzony taką metodą jest obarczony dosyć dużą niepewnością pomiarową. Latarka nie jest punktem, średnica jej zwierciadła była porównywalna z wysokością na jakiej się znajdowała, podobnie niemała średnica obiektywu w lunetce stwarzała kłopoty z określeniem wysokości na jakiej znajdował się punkt obserwacji.
Precyzję pomiaru można zwiększyć. Zamiast tradycyjnej latarki jaką dysponowaliśmy można użyć latarki z diodami świecącymi ułożonymi wzdłuż jednej linii. Dla takiego źródła umieszczonego poziomo korzystny jest stosunek rozmiarów do wysokości nad powierzchnią wody. Do obserwacji warto zbudować przyrząd mający stosunkowo małą średnicę obiektywu, co pozwoli na precyzyjne określenie wysokości punktu obserwacji. Najprostszy przedstawiony jest na poniższym rysunku.

Precyzję pomiaru można zwiększyć. Zamiast tradycyjnej latarki jaką dysponowaliśmy można użyć latarki z diodami świecącymi ułożonymi wzdłuż jednej linii. Dla takiego źródła umieszczonego poziomo korzystny jest stosunek rozmiarów do wysokości nad powierzchnią wody. Do obserwacji warto zbudować przyrząd mający stosunkowo małą średnicę obiektywu, co pozwoli na precyzyjne określenie wysokości punktu obserwacji. Najprostszy przedstawiony jest na poniższym rysunku.

Jest to zwykła rurka z przymocowanym lusterkiem umożliwiającym patrzenie „od góry”. Rurkę za pomocą uchwytów łapiemy do statywu i już mamy możliwość regulacji zarówno wysokości jak i kąta ustawienia. Ze względu na to, że wieczorem (niekoniecznie w nocy) latarka jest doskonale widoczna z dużej odległości nie ma potrzeby stosowania zaawansowanej optyki. No i oczywiście odległość brzegów jeziora powinna być jak największa (ale bez przesady).
Pomiar promienia Ziemi tą metodą ma ogromne walory dydaktyczne. Po pierwsze przeprowadza się go w jednym miejscu i w jednym czasie co bardzo ułatwia samą organizację przedsięwzięcia. W tym prostym doświadczeniu uczniowie mogą naocznie przekonać się, że powierzchnia jeziora jest zakrzywiona, co dla wielu nie jest takie oczywiste. Rzetelne przygotowanie się do pomiarów uaktywni wychowanków w wielu dziedzinach: najpierw geometria (trójkąty podobne, zależności miedzy nimi), samodzielne lub wspólne wyprowadzenie żądanej zależności. Dalej praca z mapą, odczytywanie skali mapy i obliczenia rzeczywistych odległości w terenie. I na koniec kształcenie umiejętności manualnych przy konstrukcji proponowanej lunetki (rurki) z lusterkiem. Samym pomiarom towarzyszą ogromne emocje i na długo pozostaną w pamięci uczniów.


Instrukcja do ćwiczenia (pdf)